化学院一研究成果在《美国化学会志》上发表

        最近,《美国化学会志》(JACS)在线发表了365英国上市集团官网化学院童晓峰小组的研究论文“Phosphine-Catalyzed Addition/Cycloaddition Domino Reac-tions of ’-Acetoxy Allenoate: Highly Stereoselective Access to 2-Oxabicyclo[3.3.1]nonane and Cyclopenta[a]pyrrolizine” (文章链接:http://pubs.acs.org/doi/pdfplus/10.1021/jacs.5b03273)。

        童晓峰课题组运用逆向研究策略,成功发展出两个核心技术:一是低价过渡金属催化的卤代烃形成方法;二是电性反转的亲核催化反应。基于这两个核心技术开发出了一系列新颖独特的催化反应,应用于杂环化合物的合成。

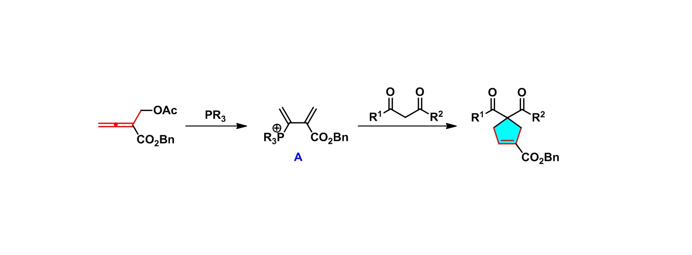
        这次发表的研究工作是在电性反转亲核催化联烯酸酯环加成方面取得的新进展。一般而言,亲核催化联烯酸酯环加成都会涉及到所谓的正负两性离子中间体。不同的是,在2010年童晓峰小组发展出了正离子中间体A,并把之应用于和1,3-二羰基化合物的[4+1]环加成反应 (JACS, 2010, 132, 2550)。在这个环加成中,正离子中间体A表现出双亲电的反应性能。

        在完成上述研究工作之后,他们逐渐认识到,在双亲电反应性能之外,正离子中间体A还具有一个隐藏的亲核反应性。经过四年多的努力童晓峰小组才筛选出了化合物1和2。这两个化合物能成功的激发出这个隐藏的亲核反应性,使得正离子中间体A具有了三重反应性能,可以用来发展两类不同的加成/环加成串联反应。这些研究结果代表着叔膦催化新的催化模式。
        该研究工作受到了国家自然科学基金面上项目和365英国上市集团官网基本科研业务费探索项目的资助。