染料敏化太阳能电池 (DSSCs) 是一种具有良好应用前景的光电转换技术。作为自然界光合作用中心的核心组分,卟啉具有很高的摩尔消光系数和易于修饰的结构,可用于太阳能的捕获,是一类重要的 DSSC 敏化染料。近年来,365英国上市集团官网化学与分子工程学院解永树教授课题组在该领域进行了系统研究,取得了系列重要进展。应国际能源环境领域知名期刊 Energy & Environmental Science邀请,近期发表题为 “Molecular engineering strategies for fabricating efficient porphyrin-based dye-sensitized solar cells” 的综述。
为了提升光捕获能力,并促进光生电子的转移,通常将卟啉染料设计成DπA 型 (电子给体π 桥电子受体) 推拉电子结构,吸附于二氧化钛薄膜,构筑 DSSCs。前期研究中,解永树教授研究团队通过系统优化电子给体及额外电子受体单元,从拓展 共轭结构和增强分子内电荷转移 (ICT) 效应两方面着手,拓展吸收光谱。在此基础上,进一步运用小分子共敏化剂弥补卟啉染料吸收缺陷,显著提升电流。同时,引入多条烷基链,抑制染料聚集和电荷复合,有效提升电压。通过这些策略的综合运用,实现电池短路电流和开路电压的协同提升,实现了当时非钌染料碘电解质电池的最高光电转换效率 11.5% (Angew. Chem. Int. Ed., 2014, 53, 10779; J. Am. Chem. Soc., 2015, 137, 14055)。

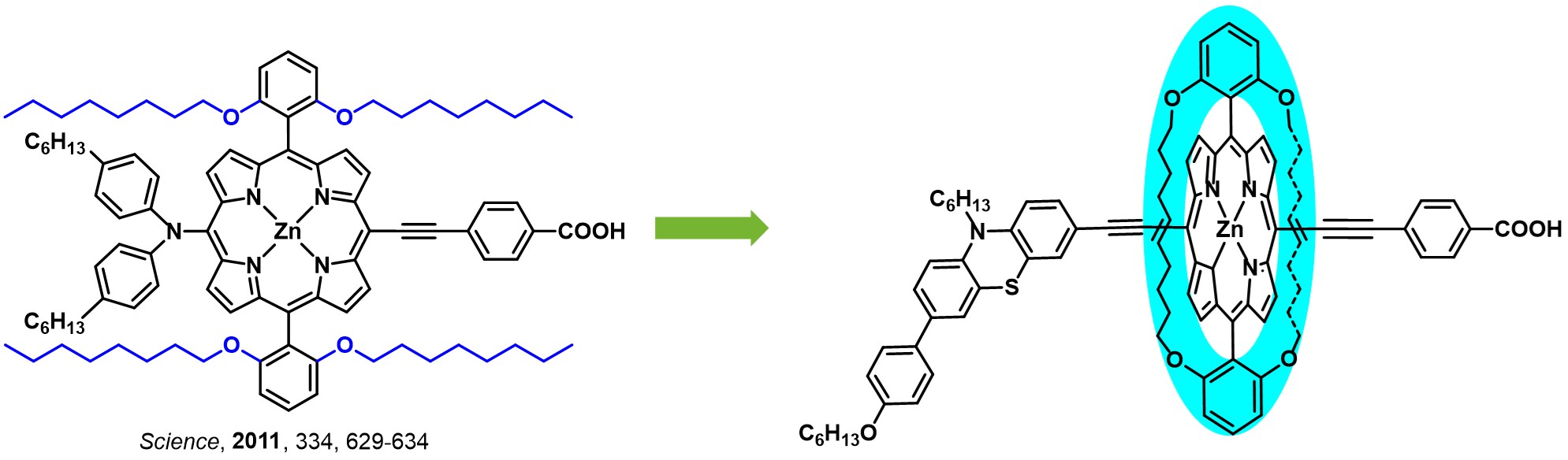
为进一步提升光电性能,在传统开链围阻型卟啉结构基础上,创新性地设计合成出独特的“闭环屏缚”型卟啉结构,在卟啉环周围引入环型碳链,更为有效地抑制了染料分子间的聚集作用,同时提升染料吸附量,从而同时实现了电池开路电压、短路电流和光电转换效率的提升 (Chem. Sci., 2019, 10, 2186; J. Mater. Chem. A,2019, 7, 20854)。

在发展新型“闭环屏缚”型卟啉基础上,为进一步解决两种染料共敏化时染料吸附比例和分布难以控制等问题,创新性地将卟啉与其吸收互补的纯有机染料通过柔性碳链共价连接, 发展了一类全新的“协同伴侣”染料。该系列染料实现了从 350 nm 到 700 nm 的全光谱吸收, 并且两种结构单元能够以精准的 1:1 比例均匀、致密地吸附于 TiO2薄膜, 有利于提升太阳能吸收与光电子收集效率,最终实现基于碘电解质 DSSCs 的最高光电转换效率 12.4%。该类“协同伴侣”染料还具有对桥连基团长度依赖性低、器件制备简单、可控性好、稳定性高等优势, 从而为发展高效染料敏化电池提供了全新思路 (J. Am. Chem. Soc.,2020, 142, 5154)。

基于上述系列研究成果,解永树教授课题组近期应邀于 Energy & Environmental Science发表综述,全面介绍了卟啉类染料分子结构的系统优化、共吸附、共敏化及“协同伴侣”染料等最新研究进展,并对该领域有待进一步改进的问题、发展方向和发展前景进行了展望。

该综述是由博士生曾凯雯在解永树教授指导下完成。论文撰写过程还得到了田禾院士的悉心指导和朱为宏教授的大力支持,并受到国家自然科学基金、上海科技重大专项、上海科技国际合作以及上海高校特聘教授(东方学者) 等项目的支持。
原文链接:https://doi.org/10.1039/C9EE04200H